Suzhou Ke Sheng Tong
Neue Materialtechnologie Co., Ltd
EPO-HCA ™ 3130 Special Chain Extender für Polyester
Heim » Produkte » Spezialketten -Extender für Polyester » EPO-HCA ™ 3130 Special Chain Extender für Polyester

loading

EPO-HCA ™ 3130 Special Chain Extender für Polyester EPO-HCA ™ 3130 Special Chain Extender für Polyester
EPO-HCA ™ 3130 Special Chain Extender für Polyester EPO-HCA ™ 3130 Special Chain Extender für Polyester

EPO-HCA ™ 3130 Special Chain Extender für Polyester

Verfügbarkeitsstatus:
EPO-HCA ™ 3130 ist ein gemischtes Polymer mit Epoxyfunktionsgruppen und ringhaltigen Gruppenringöffnungsbeschleuniger.
Epoxy 3130 (CAS-Nr. (29564-58-7), dessen vollständige chemische Bezeichnung Methylmethacrylat, Glycidylmethacrylat und Styrol ist, ist ein hochleistungsfähiges Epoxid-Funktionspolymer. Seine Kernstruktur ist ein Copolymergerüst aus Styrol und Methylmethacrylat, wobei Glycidylmethacrylat eingeführt wurde, um aktive Epoxidgruppen bereitzustellen, die eine dreidimensionale Netzwerk-Copolymerstruktur bilden. Durch die Kombination der hohen Reaktivität von Epoxidgruppen mit der hervorragenden Verarbeitungsleistung von Copolymeren, Es ist ein zentrales Additiv im industriellen Bereich, das Bindungs-, Modifikations- und Schutzfunktionen integriert.
Produktbeschreibung

Die Kernmerkmale des Produkts sind hervorstechend und für verschiedene Industrieszenarien geeignet: Erstens verfügt es über eine stabile Struktur mit regelmäßiger Molekülkettenanordnung und mäßiger Epoxidgruppenaktivität, die effizient mit Amin- und Anhydrid-Härtern reagieren kann. Nach dem Aushärten entsteht eine dichte Struktur mit hervorragender Chemikalienbeständigkeit, Feuchtigkeits- und Hitzebeständigkeit sowie Isolationsleistung. Zweitens weist es eine hervorragende Verarbeitungsleistung auf, ist in den meisten organischen Lösungsmitteln leicht löslich und kann ohne Ausfällung oder Agglomeration gut mit Harzen, Gummi und anderen Materialien kompatibel sein. Es ist für verschiedene Verarbeitungstechniken wie Sprühen, Gießen und Mischen geeignet. Drittens verfügt es über eine hervorragende Klebeleistung mit extrem starker Haftung auf verschiedenen Substraten wie Metall, Kunststoff und Glas. Gleichzeitig verfügt es über eine gewisse Zähigkeit, die Spannungsrisse im Material wirksam mildern kann. Viertens ist es umweltfreundlich, es entstehen keine schädlichen Nebenprodukte im Produktionsprozess, es entspricht den industriellen Umweltschutzstandards und wird den Anforderungen der High-End-Fertigung gerecht.

Chemische Komponente Epoxidpolymer
Aussehen Weißes Pulver oder körnig

Epoxidäquivalent

300-330g/mol
Flüchtig <2%
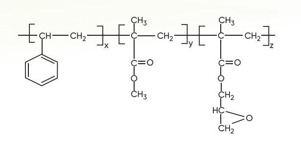
Produktstruktur 微信图片 _20250627091031


Produktfunktion  

Kleine Additionsmenge, bemerkenswerte Leistung.

Guter Wärmewiderstand und stabiler Verarbeitungsprozess.

Die Epoxygruppe hat eine gute Aktivität und eine hohe Ringeröffnungsrate.

Verbesserung der Kompatibilität und der mechanischen Eigenschaften.

Produktanwendungsfelder

EPO-HCA ™ 3130 ist ein gemischtes Polymer mit Epoxidfunktionsgruppen und ringhaltigen Gruppenringöffnungsbeschleuniger. Es wird hauptsächlich in Polyester angewendet, die Harzmolekülketten verbessert, den Schmelzindex reduziert und die Verarbeitungsleistung verbessert. EPO-HCA ™ 3130 wird normalerweise in Kombination mit Harzen durch Verwendung von Single-Screw extrudiert.

Twin-Screw-Extruder. In Polyesterplastik wie PET, PBT, pbat. Die spezifische Dosierung kann gemäß den tatsächlichen Harzindikatoren und den Anforderungen an die Produktleistung ermittelt werden. Die herkömmliche Additionsmenge beträgt: 0,2-1,0%.



facebook sharing button
twitter sharing button
line sharing button
wechat sharing button
linkedin sharing button
pinterest sharing button
whatsapp sharing button
sharethis sharing button
Vorherige: 
Nächste: 
Suzhou Ke Sheng Tong New Materials Technology Co., Ltd.wurde 2016 als High-Tech-Wachstumsunternehmen mit Hauptsitz in Suzhou, Provinz Jiangsu, gegründet.

LINKS

PRODUKTE

KONTAKTIERE UNS

+86-151-90070636
vivian.zhang@kstochina.com
Nr. 8 Chunhua Road, Stadt Huangdai, Bezirk Xiangcheng, Suzhou, Jiangsu, China.
© 2023 Suzhou Ke Sheng Tong New Materials Technology Co., Ltd.  Alle Rechte vorbehalten.  Datenschutz-Bestimmungen  Sitemap  Unterstützt durch Leadong.com