 
 loading
 
  
  
  
  
  
  
  
  
  
 
| Verfügbarkeitsstatus: | |
|---|---|
Bio-Sah ™ 342liquid
Bio-SAH™
Bio-SAH™ 342
Die Premium Bio SAH 342 Antihydrolyse -Flüssigkeitslösung ist eine obere chemische Formulierung, die zur Bekämpfung der Hydrolyse in verschiedenen Materialien und Klebstoffen entwickelt wurde. Diese flüssige Lösung fungiert als hochwertiges Qualitätsangebot aus unserem Fertigungsexpertise als leistungsstarker Stabilisator, wodurch der Abbau von Polymeren und anderen durch Wasser verursachten Substanzen verhindert wird - induzierte chemische Reaktionen. Es wird mit einer Mischung von speziellen Verbindungen formuliert, die synergistisch arbeiten, um die Haltbarkeit und die Lebensdauer von Produkten zu verbessern, die feuchten oder wässrigen Umgebungen ausgesetzt sind, was es zu einem wesentlichen Additiv für Branchen macht, die auf Feuchtigkeit - resistente Materialien -.
Schlüsselpunkte:
Hocheffizienz Anti-Hydrolyse: Erfasst Carboxylendgruppen, blockiert die selbstkatalytische Hydrolysereaktion von PA/TPU/PET und verlängert die Lebensdauer um das 2-4-fache.
Hochtemperaturwiderstand: stabil bis zu 280 ° C (kurzfristige 300 ° C), geeignet für Injektionsform, Extrusion und andere Hochtemperaturprozesse.
Farblos mit geringer Wirkung: fast keine Änderung der Grundmaterialfarbe, geeignet für transparente oder helle Produkte.
Anwendbarkeit von Breitspektrum: Geeignet für PA6/PA66-, TPU-, PET-, PBT- und andere Materialien mit hohem Molekulargewicht.
Empfohlene Dosierung: 0,5-1,5% WT (1,0% empfohlen)
Zersetzungstemperatur:> 280 ° C.
Hydrolyseschutzwirkung (PA66): Festigkeitsretention> 80% nach 1000h bei 85 ° C/85% RH
Löslichkeit: unlöslich in Wasser, teilweise löslich in polaren Lösungsmitteln
Speziell für TPU, CPU, Polyurethanmaterial und technische Kunststoffe entwickelt, um die Lebensdauer der materiellen Lebensdauer zu verlängern und den Abbau in feuchten Umgebungen zu widersetzen.
Markenname: Bio-Sah ™ 342
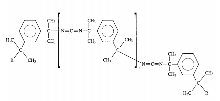
Chemischer Typ: Polycarbodiimid
Aussehen: weiß bis hellgelb Pulver
CAS-Nummer: 197098-60-5
Chemischer Struktur:
Derzeit nicht für FDA 21 CFR 177.2280 (indirekter Lebensmittelkontakt), EU 10/2011, ROHS oder Compliance zertifiziert.
Außergewöhnliche Anti -Hydrolyse -Leistung : Bio SAH 342 ist mit fortschrittlicher Chemie ausgelegt, die eine ausstehende Resistenz gegen Hydrolyse bietet. Seine einzigartige Formel bildet eine Schutzbarriere auf der Materialoberfläche, hemmt die Ein- und Ausschieben von Wassermolekülen und blockiert die Hydrolysereaktion. Dies stellt sicher, dass Materialien ihre mechanischen Eigenschaften, ihre chemische Stabilität und ihre physikalische Integrität auch unter feuchten Bedingungen beibehalten.
Hohe Kompatibilität : Die flüssige Lösung zeigt eine hervorragende Kompatibilität mit einer Vielzahl von Polymeren, Klebstoffen und Harzen. Ob Polyurethan, Polyester oder andere synthetische Materialien, Bio SAH 342 kann leicht in den Produktionsprozess eingebaut werden, ohne die Eigenschaften des Grundmaterials zu beeinflussen. Diese Vielseitigkeit ermöglicht es den Herstellern, sie über verschiedene Produktleitungen hinweg zu verwenden, wodurch die Notwendigkeit mehrerer spezieller Additive reduziert werden.
Einfache Anwendung : Mit seiner flüssigen Form bietet Bio SAH 342 bequeme Anwendungsmethoden. Es kann leicht in flüssigbasierte Formulierungen gemischt, auf Oberflächen gesprüht oder während des Herstellungsprozesses hinzugefügt werden. Die Lösung hat eine geringe Viskosität, die eine einheitliche Verteilung und schnelle Integration in Materialien gewährleistet, was den Produktionsworkflow vereinfacht und die Verarbeitungszeit verkürzt.
Stabilität und lange Haltbarkeit : Unser Herstellungsprozess stellt sicher, dass Bio SAH 342 eine hervorragende Stabilität aufweist. Die Lösung bleibt über einen längeren Zeitraum wirksam, wenn sie unter empfohlenen Bedingungen gespeichert werden. Es verschlechtert oder verliert seine Anti -Hydrolyse -Eigenschaften nicht leicht, was den Herstellern einen zuverlässigen Additiv bietet, den sie bei Bedarf auf Lager haben und verwenden können.
Umweltfreundlich : Bio SAH 342 ist mit Blick auf die ökologische Nachhaltigkeit formuliert. Es enthält keine schädlichen oder giftigen Substanzen, und seine Verwendung trägt nicht zur Umweltverschmutzung bei. Dies macht es zu einer verantwortungsvollen Wahl für Hersteller, die die wachsenden Umweltvorschriften und die Anforderungen der Verbraucher nach grüneren Produkten erfüllen möchten.
Klebebranche : Im verarbeitenden Gewerbe ist die flüssige Lösung der Premium Bio SAH 342 entscheidend für die Schaffung von Feuchtigkeit - resistenten Klebstoffen. Es verbessert die Fähigkeit des Klebstoffs, seine Bindungsfestigkeit in feuchten Umgebungen aufrechtzuerhalten, und macht es für Anwendungen in Konstruktion, Holzbearbeitung und Automobilbaugruppe geeignet, bei denen Klebstoffe häufig unterschiedlichem Luftfeuchtigkeitsniveau ausgesetzt sind.
Polymerverarbeitung : Bei Polymerherstellern wird diese Lösung verwendet, um die Hydrolyseresistenz von Polymeren wie Polyurethanen und Polyestern zu verbessern. Es hilft bei der Herstellung dauerhafter Produkte wie Automobilteile, Schuhe und Möbelkomponenten, um sicherzustellen, dass sie täglich Feuchtigkeitsbelastung standhalten können, ohne sich zu verschlechtern.
Beschichtung und Lackindustrie : In Beschichtungen und Farben wird Bio SAH 342 hinzugefügt, um den Feuchtigkeitsbeständigkeit des letzten Films zu verbessern. Es schützt die beschichtete Oberfläche vor Wasser - induzierte Schäden wie Blasenbildung, Schälen und Verfärbungen, was es sowohl für Innen- als auch für Außenanwendungen ideal macht, einschließlich architektonischer Beschichtungen und industrieller Oberflächen.
Textil- und Lederbehandlungen : Die Lösung kann in der Textil- und Lederverarbeitung verwendet werden, um die Materialien resistenter gegen Wasserschäden zu machen. Es hilft bei der Herstellung von Wasser - abstoßende Stoffe und Lederprodukte, die in Mode, Außenausrüstung und Automobilbezüglichkeitsindustrie hoch geschätzt werden.
Unübertroffene Fertigungsexpertise : Unser Unternehmen verfügt über umfangreiche Erfahrung und im Tiefenkenntnis in der Produktion von chemischen Lösungen mit hoher Qualität. Wir nutzen den Zustand - von - die - Kunstfertigungseinrichtungen und halten strenge Qualitätskontrollprozesse ein, um sicherzustellen, dass jede Menge Bio SAH 342 die höchsten Standards für Reinheit, Leistung und Konsistenz entspricht.
Anpassungslösungen : Wir verstehen, dass verschiedene Branchen und Anwendungen einzigartige Anforderungen haben. Unser Expertenteam ist bereit, eng mit Ihnen zusammenzuarbeiten, um maßgeschneiderte Lösungen bereitzustellen. Unabhängig davon, ob Sie Anpassungen an der Formulierung, der spezifischen Verpackung oder dem technischen Support benötigen, können wir unsere Angebote so anpassen, dass Sie Ihre genauen Anforderungen entsprechen.
Zuverlässige Lieferkette : Mit einer gut etablierten und effizienten Lieferkette garantieren wir die rechtzeitige Lieferung unserer Produkte. Wir haben strategische Partnerschaften mit Lieferanten und Logistikanbietern, um sicherzustellen, dass Sie Ihre Bestellungen im Zeitplan erhalten und mögliche Störungen Ihrer Produktionsprozesse minimieren.
Umfassender technischer Support : Unser engagiertes technisches Support -Team steht Ihnen während des gesamten Prozesses zur Verfügung, von der Produktauswahl bis zur Anwendung. Wir bieten eine detaillierte technische Dokumentation an - Schultraining und sofortige Antworten auf technische Anfragen, um sicherzustellen, dass Sie unsere Produkte effektiv verwenden und die besten Ergebnisse erzielen können.
Die Premium Bio SAH 342 Antihydrolyse -Flüssigkeitslösung ist eine obere chemische Formulierung, die zur Bekämpfung der Hydrolyse in verschiedenen Materialien und Klebstoffen entwickelt wurde. Diese flüssige Lösung fungiert als hochwertiges Qualitätsangebot aus unserem Fertigungsexpertise als leistungsstarker Stabilisator, wodurch der Abbau von Polymeren und anderen durch Wasser verursachten Substanzen verhindert wird - induzierte chemische Reaktionen. Es wird mit einer Mischung von speziellen Verbindungen formuliert, die synergistisch arbeiten, um die Haltbarkeit und die Lebensdauer von Produkten zu verbessern, die feuchten oder wässrigen Umgebungen ausgesetzt sind, was es zu einem wesentlichen Additiv für Branchen macht, die auf Feuchtigkeit - resistente Materialien -.
Schlüsselpunkte:
Hocheffizienz Anti-Hydrolyse: Erfasst Carboxylendgruppen, blockiert die selbstkatalytische Hydrolysereaktion von PA/TPU/PET und verlängert die Lebensdauer um das 2-4-fache.
Hochtemperaturwiderstand: stabil bis zu 280 ° C (kurzfristige 300 ° C), geeignet für Injektionsform, Extrusion und andere Hochtemperaturprozesse.
Farblos mit geringer Wirkung: fast keine Änderung der Grundmaterialfarbe, geeignet für transparente oder helle Produkte.
Anwendbarkeit von Breitspektrum: Geeignet für PA6/PA66-, TPU-, PET-, PBT- und andere Materialien mit hohem Molekulargewicht.
Empfohlene Dosierung: 0,5-1,5% WT (1,0% empfohlen)
Zersetzungstemperatur:> 280 ° C.
Hydrolyseschutzwirkung (PA66): Festigkeitsretention> 80% nach 1000h bei 85 ° C/85% RH
Löslichkeit: unlöslich in Wasser, teilweise löslich in polaren Lösungsmitteln
Speziell für TPU, CPU, Polyurethanmaterial und technische Kunststoffe entwickelt, um die Lebensdauer der materiellen Lebensdauer zu verlängern und den Abbau in feuchten Umgebungen zu widersetzen.
Markenname: Bio-Sah ™ 342
Chemischer Typ: Polycarbodiimid
Aussehen: weiß bis hellgelb Pulver
CAS-Nummer: 197098-60-5
Chemischer Struktur:
Derzeit nicht für FDA 21 CFR 177.2280 (indirekter Lebensmittelkontakt), EU 10/2011, ROHS oder Compliance zertifiziert.
Außergewöhnliche Anti -Hydrolyse -Leistung : Bio SAH 342 ist mit fortschrittlicher Chemie ausgelegt, die eine ausstehende Resistenz gegen Hydrolyse bietet. Seine einzigartige Formel bildet eine Schutzbarriere auf der Materialoberfläche, hemmt die Ein- und Ausschieben von Wassermolekülen und blockiert die Hydrolysereaktion. Dies stellt sicher, dass Materialien ihre mechanischen Eigenschaften, ihre chemische Stabilität und ihre physikalische Integrität auch unter feuchten Bedingungen beibehalten.
Hohe Kompatibilität : Die flüssige Lösung zeigt eine hervorragende Kompatibilität mit einer Vielzahl von Polymeren, Klebstoffen und Harzen. Ob Polyurethan, Polyester oder andere synthetische Materialien, Bio SAH 342 kann leicht in den Produktionsprozess eingebaut werden, ohne die Eigenschaften des Grundmaterials zu beeinflussen. Diese Vielseitigkeit ermöglicht es den Herstellern, sie über verschiedene Produktleitungen hinweg zu verwenden, wodurch die Notwendigkeit mehrerer spezieller Additive reduziert werden.
Einfache Anwendung : Mit seiner flüssigen Form bietet Bio SAH 342 bequeme Anwendungsmethoden. Es kann leicht in flüssigbasierte Formulierungen gemischt, auf Oberflächen gesprüht oder während des Herstellungsprozesses hinzugefügt werden. Die Lösung hat eine geringe Viskosität, die eine einheitliche Verteilung und schnelle Integration in Materialien gewährleistet, was den Produktionsworkflow vereinfacht und die Verarbeitungszeit verkürzt.
Stabilität und lange Haltbarkeit : Unser Herstellungsprozess stellt sicher, dass Bio SAH 342 eine hervorragende Stabilität aufweist. Die Lösung bleibt über einen längeren Zeitraum wirksam, wenn sie unter empfohlenen Bedingungen gespeichert werden. Es verschlechtert oder verliert seine Anti -Hydrolyse -Eigenschaften nicht leicht, was den Herstellern einen zuverlässigen Additiv bietet, den sie bei Bedarf auf Lager haben und verwenden können.
Umweltfreundlich : Bio SAH 342 ist mit Blick auf die ökologische Nachhaltigkeit formuliert. Es enthält keine schädlichen oder giftigen Substanzen, und seine Verwendung trägt nicht zur Umweltverschmutzung bei. Dies macht es zu einer verantwortungsvollen Wahl für Hersteller, die die wachsenden Umweltvorschriften und die Anforderungen der Verbraucher nach grüneren Produkten erfüllen möchten.
Klebebranche : Im verarbeitenden Gewerbe ist die flüssige Lösung der Premium Bio SAH 342 entscheidend für die Schaffung von Feuchtigkeit - resistenten Klebstoffen. Es verbessert die Fähigkeit des Klebstoffs, seine Bindungsfestigkeit in feuchten Umgebungen aufrechtzuerhalten, und macht es für Anwendungen in Konstruktion, Holzbearbeitung und Automobilbaugruppe geeignet, bei denen Klebstoffe häufig unterschiedlichem Luftfeuchtigkeitsniveau ausgesetzt sind.
Polymerverarbeitung : Bei Polymerherstellern wird diese Lösung verwendet, um die Hydrolyseresistenz von Polymeren wie Polyurethanen und Polyestern zu verbessern. Es hilft bei der Herstellung dauerhafter Produkte wie Automobilteile, Schuhe und Möbelkomponenten, um sicherzustellen, dass sie täglich Feuchtigkeitsbelastung standhalten können, ohne sich zu verschlechtern.
Beschichtung und Lackindustrie : In Beschichtungen und Farben wird Bio SAH 342 hinzugefügt, um den Feuchtigkeitsbeständigkeit des letzten Films zu verbessern. Es schützt die beschichtete Oberfläche vor Wasser - induzierte Schäden wie Blasenbildung, Schälen und Verfärbungen, was es sowohl für Innen- als auch für Außenanwendungen ideal macht, einschließlich architektonischer Beschichtungen und industrieller Oberflächen.
Textil- und Lederbehandlungen : Die Lösung kann in der Textil- und Lederverarbeitung verwendet werden, um die Materialien resistenter gegen Wasserschäden zu machen. Es hilft bei der Herstellung von Wasser - abstoßende Stoffe und Lederprodukte, die in Mode, Außenausrüstung und Automobilbezüglichkeitsindustrie hoch geschätzt werden.
Unübertroffene Fertigungsexpertise : Unser Unternehmen verfügt über umfangreiche Erfahrung und im Tiefenkenntnis in der Produktion von chemischen Lösungen mit hoher Qualität. Wir nutzen den Zustand - von - die - Kunstfertigungseinrichtungen und halten strenge Qualitätskontrollprozesse ein, um sicherzustellen, dass jede Menge Bio SAH 342 die höchsten Standards für Reinheit, Leistung und Konsistenz entspricht.
Anpassungslösungen : Wir verstehen, dass verschiedene Branchen und Anwendungen einzigartige Anforderungen haben. Unser Expertenteam ist bereit, eng mit Ihnen zusammenzuarbeiten, um maßgeschneiderte Lösungen bereitzustellen. Unabhängig davon, ob Sie Anpassungen an der Formulierung, der spezifischen Verpackung oder dem technischen Support benötigen, können wir unsere Angebote so anpassen, dass Sie Ihre genauen Anforderungen entsprechen.
Zuverlässige Lieferkette : Mit einer gut etablierten und effizienten Lieferkette garantieren wir die rechtzeitige Lieferung unserer Produkte. Wir haben strategische Partnerschaften mit Lieferanten und Logistikanbietern, um sicherzustellen, dass Sie Ihre Bestellungen im Zeitplan erhalten und mögliche Störungen Ihrer Produktionsprozesse minimieren.
Umfassender technischer Support : Unser engagiertes technisches Support -Team steht Ihnen während des gesamten Prozesses zur Verfügung, von der Produktauswahl bis zur Anwendung. Wir bieten eine detaillierte technische Dokumentation an - Schultraining und sofortige Antworten auf technische Anfragen, um sicherzustellen, dass Sie unsere Produkte effektiv verwenden und die besten Ergebnisse erzielen können.